tout,terminale,lycee, fonction
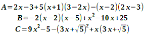
Exercice 1
La fonction exponentielle racine carree ln logarithme ensemble de définition
tout, terminale,lycee, equation, système
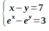
Exercice 2
Résoudre dans ℝ
2 le système:
La fonction exponentielle ln logarithme equation systeme d'equation
tout, premiere,terminale,lycee, fonction, ensemble de definition
Exercice 3
On considère la fonction f suivante:
Déterminer l'ensemble de définition D
f de la fonction f.
Ensemble de définition de f:
fonction homographique limite derivee tableau de variation signe sens de variation asymptotes ensemble de définition
tout, premiere,terminale,lycee, fonction, limite
Déterminer la limite de f quand x tend vers -∞ (resp vers +∞)
fonction homographique limite derivee tableau de variation signe sens de variation asymptotes ensemble de définition
tout, premiere,terminale,lycee, fonction,limite
Déterminer la limite de f quand x tend vers 3/4 par valeurs inférieures
Limite de f quand x tend vers 3/4 par valeurs inférieures
fonction homographique limite derivee tableau de variation signe sens de variation asymptotes ensemble de définition
tout, premiere,terminale,lycee, fonction, limites
Déterminer la limite de f quand x tend vers 3/4 par valeurs supérieures
Limite de f quand x tend vers 3/4 par valeurs supérieures
fonction homographique limite derivee tableau de variation signe sens de variation asymptotes ensemble de définition
tout, premiere,terminale,lycee, fonction, dérivée, sens de variation
Déterminer le sens de variation de la fonction f.
fonction homographique limite derivee tableau de variation signe sens de variation asymptotes ensemble de définition
tout, premiere,terminale,lycee, fonction, tableau de variation
Dresser le tableau de variation de f
Tableau de variation de f
fonction homographique limite derivee tableau de variation signe sens de variation asymptotes ensemble de définition
tout, premiere,terminale,lycee, fonction
La courbe de f admet-elle des asymptotes? Si oui les déterminer.
fonction homographique limite derivee tableau de variation signe sens de variation asymptotes ensemble de définition
tout, premiere,terminale,lycee, fonction
Donner une représentation graphique(allure) de la courbe de f
Représentation graphique de la courbe de f. (les asymptotes sont tracées en bleu)
fonction homographique limite derivee tableau de variation signe sens de variation asymptotes ensemble de définition
tout, premiere,terminale,lycee,suite
somme de termes consécutifs d'une suite géométrique de raison suite numerique
tout, premiere,terminale,lycee, suite
somme de termes consécutifs d'une suite arithmétique de raison suite numerique
tout,premiere,terminale,lycee, probabilité,
Exercice 6
Dans une urne se trouvent 20 boules indiscernables au toucher, numérotées de 1 à 20.
Les 9 premières boules sont de couleur verte, et les autres sont rouges.
On tire une boule de l’urne.
1)
Déterminer la probabilité des événements suivants:
1a) R : " La boule tirée est rouge "
1b) V : " La boule tirée est verte "
1c) D : " On obtient un nombre divisible par 5 "
1d) E : " On obtient un nombre premier "
2)
2a) La boule tirée est rouge: quelle est la probabilité que le nombre obtenu soit divisible par 5?
2b) Sachant que le nombre obtenu est premier, quelle est la probabilité que la boule soit verte?
3)
3a) Répondre à la question 2a) en utilisant une formule de probabilité conditionnelle.
3b) Répondre à la question 2b) en utilisant une formule de probabilité conditionnelle.
probabilite conditionnelle evenements
tout, premiere,terminale,lycee,cosinus, sinus, trigonométrie,equation
Exercice 7
cosinus, sinus, trigonométrie,equation
tout, premiere,terminale,lycee,cosinus, sinus, trigonométrie,equation
Exercice 8
cosinus, sinus, trigonométrie,equation
tout, premiere,terminale,lycee, cosinus, sinus, trigonométrie, equation
Exercice 9
cosinus, sinus, trigonométrie,equation
tout, premiere,terminale,lycee, fonction
Exercice 10
On considère la fonction

1) Quel est son ensemble de définition?
polynome discriminant racines fonction irrationnelle limites ensemble de definition
tout, premiere,terminale,lycee, fonction
2) Calculer la limite de g quand x tend vers -∞ ?
polynome discriminant racines fonction irrationnelle limites ensemble de definition
tout, premiere,terminale,lycee, fonction
2) Calculer la limite de g quand x tend vers +∞
polynome discriminant racines fonction irrationnelle limites ensemble de definition
tout, premiere,terminale,lycee, fonction
Exercice 11
On considère la fonction h suivante:

1) Calculer la limite de h quand x tend vers -∞
polynome discriminant racines fonction irrationnelle limites ensemble de definition
tout, premiere,terminale,lycee, fonction
2) Calculer la limite de h quand x tend vers +∞
polynome discriminant racines fonction irrationnelle limites ensemble de definition
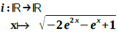
tout, premiere,terminale,lycee, fonction
Exercice 12
Déterminer l'ensemble de définition, D
i, de la fonction i suivante:
polynome discriminant racines fonction irrationnelle limites ensemble de definition fonction, logarithme, exponentielle tableau de signes
tout,terminale,lycee , inequation, equation, fonction, logarithme, exponentielle
Exercice 13
polynome discriminant racines fonction fonction, logarithme, exponentielle tableau de signes inequation, equation
tout, terminale,lycee, fonction
Exercice 14
On considère la fonction suivante :

1) Quel est l'ensemble de définition D
j de j?
fonction logarithme exponentielle sinus cosinus inequation equation de la tangente derivee ensemble de definition
tout,terminale,lycee, fonction, dérivée
2) Déterminer la fonction dérivée de j
fonction logarithme exponentielle sinus cosinus inequation equation de la tangente derivee ensemble de definition
tout,terminale,lycee, equation de la tangente, fonctions
3) Trouver l’équation de la tangente à la courbe de j au point d’abscisse 0
fonction logarithme exponentielle sinus cosinus inequation equation de la tangente derivee ensemble de definition
tout,terminale,lycee,nombres complexes, forme algébique
Exercice 15
Ecrire sous forme algébrique les nombres complexes suivants:
nombres complexes forme algébrique
tout,terminale,lycee,forme trigonométrique , forme exponentielle, nombres complexes
Exercice 16
Écrire sous forme trigonométrique, puis exponentielle les nombres complexes suivants:
nombres complexes forme trigonométrique forme exponentielle ecriture trigonometrique ecriture exponentielle
tout,terminale,lycee, nombres complexes, equation
Exercice 17
nombres complexes equation
tout, terminale,lycee, primitive, integration, integrale fonction
Exercice 18
Calculer
primitive integrale integration calcul d'integrale cosinus sinus fonction
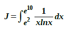
tout, terminale,lycee, primitive, integration, integrale fonction
Exercice 19
Calculer
primitive integrale integration calcul d'integrale fonction logarithme exponentielle
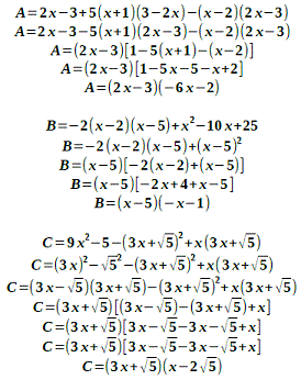
tout,seconde,lycee, factorisation
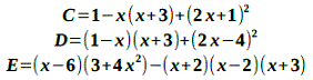
Exercice 20
Mettre sous la forme d'un produit de deux facteurs:
factorisation developpement identites remarquables
tout,seconde,lycee, troisieme,quatrieme,college, developpement
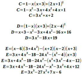
Exercice 21
Développer, réduire et ordonner suivant
les puissances décroissantes de x.
(On pourra utiliser les identités
remarquables.)
factorisation developpement identites remarquables
tout,troisieme,college, triangle rectangle, trigonometrie,theoreme de pythagore
Exercice 22
triangle rectangle, trigonometrie,theoreme de pythagore cote adjacent cote oppose hypothenuse
tout,troisieme,college, angle, sinus, cosinus,tangente, trigonometrie,triangle rectangle
Exercice 23
Le triangle PQR est rectangle en Q
On a
triangle rectangle, trigonometrie,theoreme de pythagore cote adjacent cote oppose hypothenuse angle, sinus, cosinus,tangente,
tout,troisieme,college, angle,sinus, cosinus,tangente, trigonometrie,triangle rectangle
Exercice 24
triangle rectangle, trigonometrie,theoreme de pythagore cote adjacent cote oppose hypothenuse angle, sinus, cosinus,tangente,
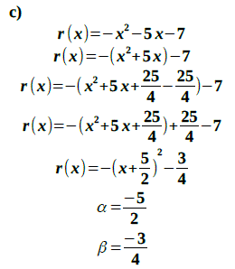
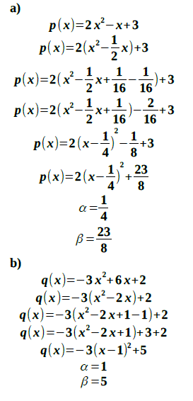
tout,seconde, premiere,lycee, forme canonique,polynome
Exercice 25
polynome forme canonique trinome du second degre polynome du second degre
tout,sixieme,cinquieme,quatrieme, troisieme,college, fraction
Exercice 26
calcul produit quotient somme difference
tout,quatrieme,troisieme,college,theoreme de thales
Exercice 27

Dans la figure ci-dessus,
les droites (BC) et (RS) sont parallèles.
Calculer BC et CE sachant que:
AC=30m, DE=42m, AB=18m, BD=9m.
theoreme de thales droite parallele
tout,quatrieme,troisieme,college,theoreme de thales
Exercice 28
theoreme de thales droite parallele
tout,quatrieme,troisieme,college,theoreme de thales
Exercice 29

On donne :
AP=120, AB=300,
AQ=150, AC=375.
Les droites (PQ) et (RS)
sont-elles parallèles?
theoreme de thales droite parallele
tout,quatrieme,troisieme,college,theoreme de thales
Exercice 30

On donne:
IL=219, IK=195,
IS=146, IT=130.
Démontrer que les droites
(LK) et (TS) sont parallèles.
theoreme de thales droite parallele
tout,quatrieme,troisieme,college,theoreme de thales
Exercice 31

On donne:
EG=200, EQ=320,
EK=270, EP=405.
Les droites (KG) et (PQ)
sont-elles parallèles?
theoreme de thales droite parallele
tout,quatrieme,troisieme,college,triangle rectangle,reciproque du theoreme de pythagore
Exercice 32

On donne:
UV=10, UW=8, VW=6.
Montrer que le triangle UVW est rectangle.
triangle rectangle,reciproque du theoreme de pythagore
tout,quatrieme,troisieme,college,triangle rectangle,theoreme de pythagore
Exercice 33

On donne
PQ=3,6km PR=4,8km QR=6,2km.
Le triangle PQR est-il rectangle?
triangle rectangle, theoreme de pythagore
tout,sixieme,cinquieme,quatrieme, troisieme, college, hauteur, bissectrice, mediatrice,mediane,triangle
Exercice 34
triangle hauteur, bissectrice, mediatrice,mediane droites remarquables dans un triangle
tout,sixieme,cinquieme,quatrieme, troisieme, college, triangle
Exercice 35
triangle isocele angle
tout,seconde, lycee, fonction affine, droite, equation de droite
Exercice 36
fonction affine equation de droite coefficient directeur point d'intersection droites secantes points
tout,seconde, lycee, parallelogramme,vecteurs colineaires, milieu, points alignes
Exercice 37
points alignes vecteurs colineaires milieu distance parallelogramme quadrilatere
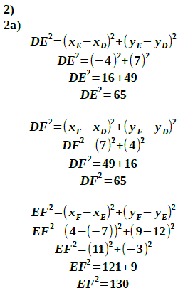
tout,seconde, lycee, triangle, distance,vecteurs colineaires, points alignes, points non alignes,coordonnees
Exercice 38
points non alignes vecteurs non colineaires distance points alignes vecteurs colineaire theoreme de pythagoe triangle rectangle isocele